埃隆・马斯克再度大幅减持特斯拉,三天内至少套现35.8亿美元(约合人民币250亿元)。这是自马斯克以440亿美元收购推特以来进行的第二波大规模抛售特斯拉行动,今年11月上旬马斯克也曾大举抛售1950万股特斯拉股票,套现39.5亿美元。
值得一提的是,截至美东时间12月14日,特斯拉市值已经跌至2020年11月以来最低位;此外,包括高盛、加拿大皇家银行在内的多家机构纷纷下调对特斯拉的股价目标。
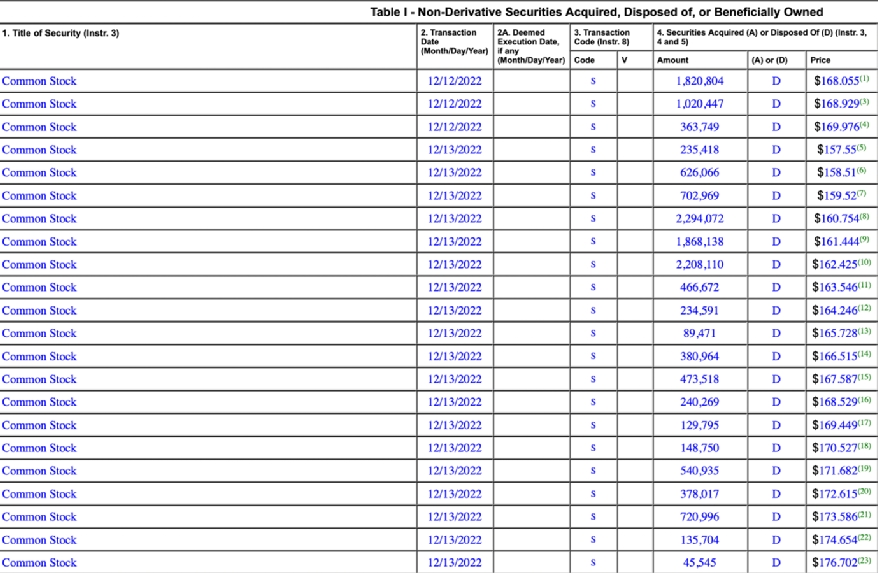
马斯克再抛特斯拉
当地时间12月14日,美国证券交易委员会披露的文件显示,马斯克在12月12日至12月14日的三天里,以平均165美元的价格,出售了至少2200万股特斯拉股票。据测算,本轮大幅减持特斯拉至少套现35.8亿美元。
减持后,马斯克仍持有Tesla约13.4%股份,仍然是最大股东。


来源:美国证券交易委员会
事实上,这是马斯克以440亿美元的价格收购推特之后的第二轮大规模抛售特斯拉股票。今年11月,马斯克分别于11月4日、11月7日、11月8日连续三个交易日减持了545万股、965万股和440万股特斯拉股票,总计减持1950万股,价值共计39.50亿美元(折合约286.23亿人民币)。
特斯拉股价创2年低位
多家机构唱空
早在今年4月、8月,马斯克先后出售价值约为85亿美元和价值约为69亿美元的特斯拉股票。收购推特以后,11月马斯克连续三个交易日减持特斯拉,12月连续三个交易日再度减持,马斯克今年来已售出逾9400万股特斯拉股份,平均价243.46美元,总值约229.3亿美元。
截至美东时间12月14日,特斯拉报收156.8美元/股,市值跌到5000亿美元之下,创2年低位。今年以来特斯拉股价累跌55%,相比去年11月的414.46美元历史高位,累积下跌超过62%。
就在股价腰斩之际,包括高盛、加拿大皇家银行在内的多家机构纷纷下调对特斯拉的股价目标。高盛将特斯拉目标价从305美元下调至235美元;加拿大皇家银行将斯拉目标价从325美元下调至225美元。
摩根士丹利发表报告指,市场对电动车需求的已开始“刹车”,2025年美国市场电动车占有率将达到11%,2030年升至26%,分别低于之前大摩预测的13%和32%。此外,全球经济疲弱和电池成本高企,也将影响中国和欧洲两大市场的电动车市占率增长。
中国市场方面,同年初“一车难求”的情况比较,特斯拉10月的产能,已高于交付量约1.6万辆。9月以来,特斯拉旗下主力热销车型Model 3和Model Y,已连续多次减价及提供优惠促销。随着国内对电动车购买补贴截止日期临近,特斯拉的压力进一步增大。
不过,大摩的报告也强调,特斯拉在2023年依旧是股票首选,也是业内唯一一家能以类似燃油车利润率销售产品的纯电动车公司;特斯拉早前推出的Semi Truck以及明年会推出Cyber Truck,会进一步丰富产品线。
马斯克丢掉世界首富宝座
被LVMH董事长超越
据《福布斯》的最新数据,马斯克最近还失去了稳坐超过1年的全球首富地位,取而代之的是奢侈品集团LVMH主席兼行政总裁阿尔诺(Bernard Arnault)。
业内人士普遍认为,马斯克的财富缩水与特斯拉股价直接相关;而特斯拉今年以来腰斩的股价则与市场普遍不看好马斯克亿440亿美元的价格收购推特有关。究其原因主要是,大量特斯拉股票的持有者担心马斯克“入主”推特后会分散其管理特斯拉的注意力。
据彭博社,分析师们认为:“在特斯拉如此关键的时刻,马斯克把所有的精力都集中在推特上,这可不是好看的,特斯拉也处于悬而未决状态。马斯克的推文也在制造更多的噪音,这对推特和特斯拉均造成了负面影响。”
(来源:中国基金报 见习记者 周倬睿)

