芦哲、 张佳炜(芦哲系东吴证券首席经济学家、中国首席经济学家论坛成员)
核心观点
核心观点:9月FOMC如期降息25bps,点阵图指引年内还有2次降息,基本符合预期,但同时指引明年还有额外1次降息,相比市场预期明显偏鹰。发布会上Powell对于就业和通胀的观点与8月Jackson Hole会议基本一致,没有太多增量的鸽派信息,反而对于未来政策利率路径的表态偏鹰,因此大类资产走势反复,美元指数&美债利率走出V型、黄金先涨后跌、美股震荡。向前看,我们认为交易主线将转向美联储独立性,美联储将迎来从Data-Dependent到Trump-Dependent的重塑。对于市场而言,政治压力裹挟下更多的降息与美元信用风险的走阔,对应2年美债利率与美元指数的下行,10年美债利率的下行则将因期限溢价的走阔而受阻。
FOMC声明:如期降息25bps,天平从通胀上行风险转向增长下行风险。9月FOMC会议如期将政策利率下调25bps至[4.0, 4.25]%,声明相比7月会议的变化体现在强调就业的下行风险,新增“就业增长有所放缓,失业率有所抬升”,“就业前景的下行风险在增大”,“通胀有所上行”等表述,这与近期的非农就业、通胀数据的变化相符合。因此,“鉴于风险平衡的转变(in light of the shift in the balance of risks)”,FOMC决定下调政策利率25bps。新就职美联储理事Miran投下反对票,认为应降息50bps。
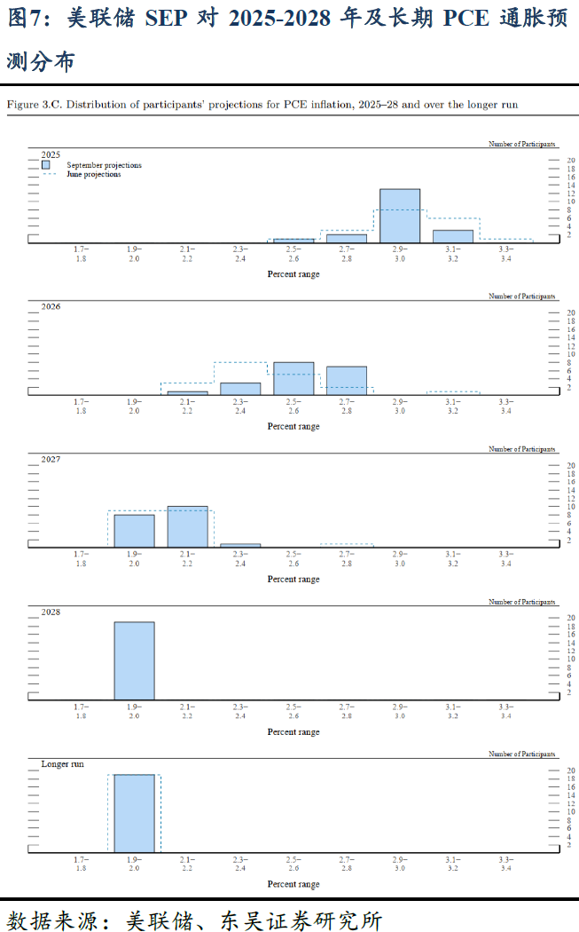
点阵图:年内还有2次降息。点阵图对于2025-2027年的政策利率指引均向下平移25bps,即预期今年3次、明年与后年各1次降息,新增2028年利率指引政策利率在[3.0, 3.25]%不变。①2025年:预期全年0-1-2-3-6次降息的委员分别为1-6-2-9-1人;推测刚入职的Miran指引全年6次降息,即9月开始应连续三次50bps/次的降息。②2026-2028年:预计到2026年累计降息 2-3-4-5-6-7 次的人数分别为2-6-2-4-3-2人,中值为4次,对应政策利率区间[3.25, 3.50]%,即预测2026年仅额外降息一次;预计至2027年降息至[3.0, 3.25]%;此外,新增2028年政策利率指引,认为2028年将不再降息。总体来看,点阵图对未来3年的降息指引分布更加离散。③长期政策利率:预期长期政策利率持平3.0%,且分布的离散性显示对长期利率预测仍存在高度不确定性。
经济预测:预期更多降息将抬升增长与通胀。①产出:将2025Q4至2027Q4的GDP同比增长预测分别上调0.2pct、0.2 pct 、0.1 pct 至1.6%、1.8%、1.9%,新增2028Q4预测为1.8%,即预期未来几年美国经济增长将在1.8%的长期均衡水平附近波动;同时,下调2026、2027年失业率各0.1 pct 至4.4%、4.3%。这一调整显示美联储预期降息将提振经济增长。②通胀:相比6月,仅对明年通胀预测有所调整,将2026Q4 PCE和核心PCE预测值由2.4%上调至2.6%。③风险:对预测不确定性和风险的评估显示,美联储认为未来GDP的下行风险边际缓释,但失业率的下行风险边际强化;通胀上行风险较此前边际缓释。
发布会:增量鸽派信息不多,对利率前景表态偏鹰,给市场预期泼冷水。①增长前景方面,强调就业的下行风险,增量信息不多。Powell在发布会上表示,就业需求明显放缓;劳务市场供需双弱,而不仅仅是移民因素造成;就业的下行风险已经上升,由于招聘率降低,如果裁员率上升,则会迅速推高失业率,这是政策目标转变的原因之一;就业的盈亏平衡增长率正在下降。同时,Powell表示,家庭部门状况仍然良好,消费稳健,因此经济活动的整体状况维持平稳。②通胀前景方面,再次表示关税的影响是一次性的。Powell认为现在通胀的上行压力小于4月份;关税对核心商品通胀产生影响,但是一次性的,爆发持续性通胀的概率不大;预计对核心PCE通胀的影响在0.3-0.4个百分点。总体来看,Powell对于增长和通胀的看法与8月Jackson Hole会议上的观点保持一致,没有太多鸽派的增量信息。③货币政策方面,Powell的表态相较于市场预期更为鹰派,表示不认为会快速降息(don\'t feel need to move quickly on rates);不认可市场对于未来利率路径的预期,或暗示当前市场对于2026年政策利率降至2.9%的预期过于乐观;同时,Powell表示此次降息可视为“风险管理”降息;本次会议没有广泛地讨论降息50bps。
市场反应与展望:美联储从Data-Dependent到Trump-Dependent。9月FOMC前,交易员定价全年2.7次降息,到2026年底累计5.7次降息。会议期间,市场首先交易2025年点阵图更鸽派的指引,随后交易2026年更鹰派的指引和发布会上Powell偏鹰派的表态。大类资产走势反复,美元指数&美债利率走出V型,黄金先涨后跌,美股几经震荡后小幅上涨。向前看,美联储将迎来从Data-Dependent到Trump-Dependent的重塑。当前美联储7名理事已有3名特朗普亲信(Waller、Bowman、Miran),12名地方联储主席将在2026年2月底迎来重选,任命需理事会多数票通过。若正在争议中的理事Lisa Cook在此前被换掉,则特朗普将掌握美联储理事会的多数席位,将对地方联储人士任命产生更大影响。而随着2026年5月主席换人,特朗普或将在理事会拥有5名亲信,对美联储形成更强掌控(详见报告《特朗普干预美联储独立性的三个途径》)。因此,当前点阵图对于2026年仅额外1次的降息指引或较为保守,参考意义不大。
市场策略:中期的交易主线转向美联储独立性问题。预计今年11月国会将正式任命新任美联储主席,届时市场料押注2026年5月后的降息加码,进一步压低美元指数&美债利率。因此,今年9月重启降息后的交易剧本或与去年相反。去年所谓的“卖事实”交易,更多是因为特朗普胜选预期升温导致“宽财政+紧货币→强美元+高利率”组合交易强化。而从今年往后看,交易主线料是对美联储独立性的担忧,这意味着明年在政治压力裹挟下更多的降息,以及美元信用风险的走阔。对于市场而言,对应2年美债利率与美元指数的走低,10年美债利率的下行或因期限溢价的走阔而受阻,即美债利率曲线中期来看仍面临陡峭化趋势。美股和黄金则有望分别受益于中期更多的降息和美联储独立性的挑战。
风险提示:特朗普政策落地节奏与预期相差较大;美联储维持高利率水平时间过长,引发金融系统流动性危机;通胀下行速率不及预期。














