2026年开年以来,AI圈最火的现象,不是新大模型的参数突破,不是AI绘画的迭代升级,而是一场全民参与的“养龙虾”狂欢。
打开社交平台,“你养龙虾了吗?”成为AI从业者的见面问候语;GitHub上,相关项目星标数10天破10万,单周访客量突破200万;职场中,有人靠“养龙虾”实现一人顶一个团队,开启低成本创业之路。
这场由“龙虾”引发的行业风暴背后,是AI Agent赛道的全面爆发,更是新一轮科技暴富机遇的悄然降临。

一场席卷AI圈的现象级狂欢
什么是“养龙虾”?这不是水产养殖,而是2026年AI圈最火的黑话,指的是部署、训练、使用以OpenClaw为代表的本地AI智能体(Agent)。
这个由奥地利退休程序员Peter Steinberger主导开发的开源项目,从一个周末副业项目,快速成长为GitHub历史上增速最快的开源项目之一。
截至2026年3月初,其星标数量突破23万,Fork数超3.2万,核心贡献者超130人,全球独立部署实例突破100万,单周官网访问量超200万。
之所以被称为“养龙虾”,核心原因有两点:
一是OpenClaw的官方图标是一只红色龙虾,形象生动易传播;二是这类AI智能体如同多手龙虾一般,能够同时处理多个任务、自主执行操作,无需人类实时干预,就像“养”了一个能24小时干活的“数字员工”。
区别于传统的聊天式AI,这类智能体最大的特点的是“自主执行、闭环落地”。这种“解放双手、提升效率”的能力,是“养龙虾”能够快速破圈的核心原因。
值得注意的是,“养龙虾”并非单一产品的应用,而是一个完整的生态。从核心框架,到技能插件,再到部署工具,形成了一条完整的产业链。
2026年以来,随着OpenClaw等开源框架的完善,以及云厂商的快速入场,“养龙虾”的门槛被彻底拉低。阿里云、腾讯云、百度云等纷纷上线OpenClaw一键部署服务,让普通人也能养一只属于自己的专属“龙虾”。
“养龙虾”的爆火,同样离不开名人效应和大厂的集体推动。其中,猎豹傅盛卧床14天“养”出AI团队“三万”,24小时干完传统6人2–3周的活,这一案例被广泛传播,让更多人看到了AI智能体的实用价值,进一步点燃了全民“养虾”的热情。
在行业人士看来,“养龙虾”的爆火,不仅仅是一场全民参与的技术狂欢,更对AI行业产生了深远的影响,推动AI行业从“对话式AI”向“执行式AI”转型,开启了新一轮的生产力革命。
麦肯锡《2026年AI现状调查》数据显示,全球23%的组织已在核心业务单元实现Agentic AI系统的规模化部署,另有39%的组织正在进行深度试点,超60%的企业已积极拥抱Agent技术。
开启下一个万亿赛道
随着AI智能体技术的成熟、场景的普及、生态的完善,以及全民“养虾”热潮的推动,AI Agent赛道已经成为AI行业的下一个万亿级赛道,市场规模呈现指数级增长态势,发展前景十分广阔。
大象研究院最新报告预测,2026年全球AI Agent相关经济规模将冲破5000亿美元关口;细分赛道中,全球AI Agent核心市场规模预计达187亿美元,同比增速高达215%。中国市场同样增速迅猛,预计2026年市场规模将突破480亿元,2024-2029年复合年增长率达53.7%。
AI Agent赛道的爆发式增长,以及全民“养龙虾”的热潮,不仅吸引了科技厂商的布局,也引发了资本市场的高度关注。上市公司作为行业的核心力量,纷纷加速布局AI Agent赛道,抢占新一轮暴富机遇。
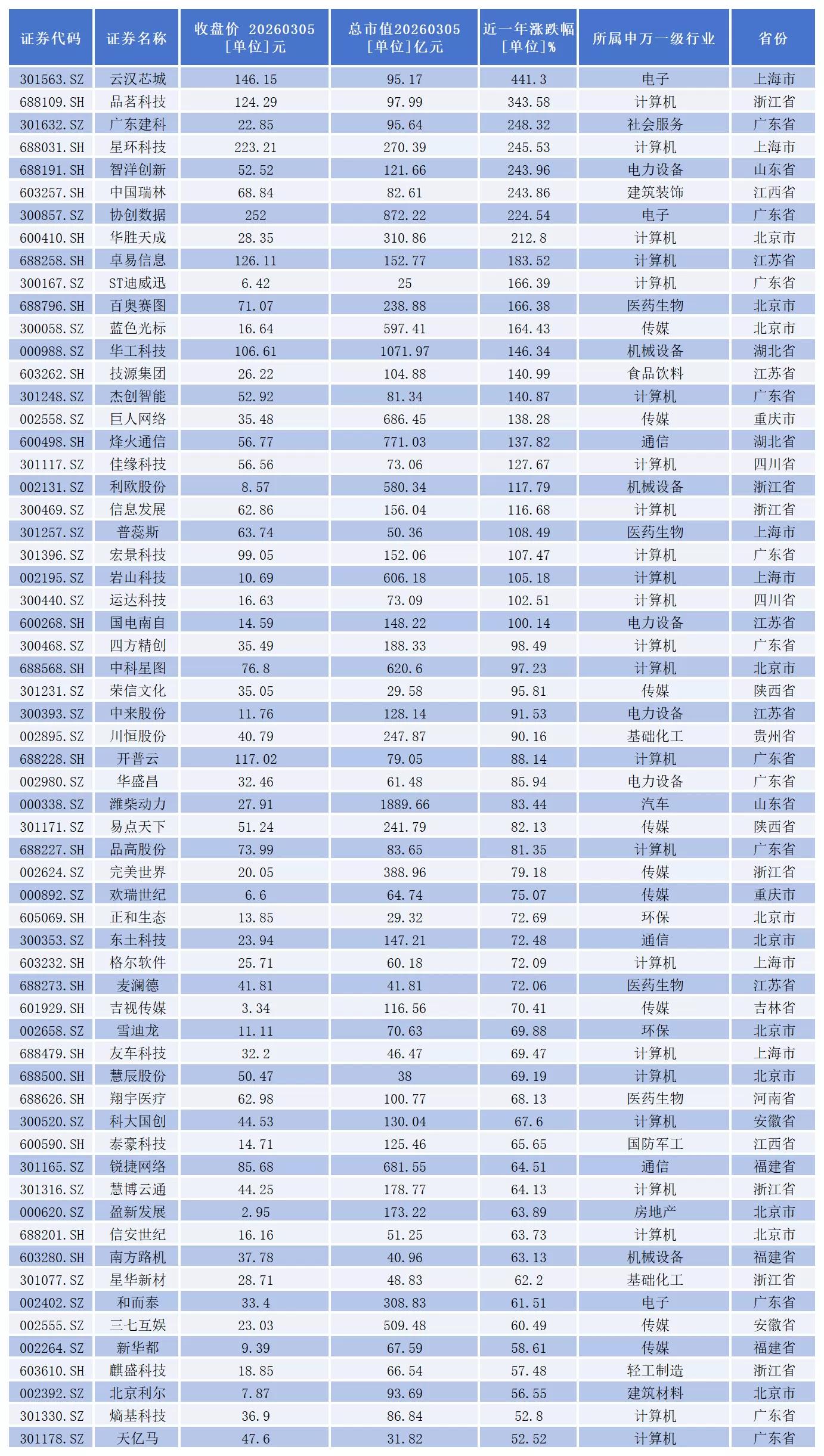
同花顺数据显示,截至3月5日收盘,A股AI智能体概念一共有419家上市公司。
从二级市场表现看,近一年,一共有237家公司股价出现上涨,其中,61家公司股价涨幅超过50%。
云汉芯城(301563.SZ)、品茗科技(688109.SH)、广东建科(301632.SZ)、星环科技(688031.SH)、智洋创新(688191.SH)、中国瑞林(603257.SH)、协创数据(300857.SZ)、华胜天成(600410.SH)、卓易信息(688258.SH)、ST迪威迅(300167.SZ)、百奥赛图(688796.SH)等25家公司近一年股价累计涨幅已经成功实现翻倍。
作为AI智能体板块的“龙头股”,星环科技在AI Agent赛道布局较早,重点聚焦于企业级AI智能体的研发与落地,凭借自身在大数据、人工智能领域的技术优势,推出了面向金融、制造、政府等行业的AI智能体解决方案。公司依托自研的大模型,打造了具备自主执行、多任务协同能力的企业级AI智能体,能够帮助企业实现数据处理、流程自动化、智能决策等功能,目前已在多家大型企业落地应用。
3月5日,星环科技股价涨停,收盘价223.21元,当日涨幅达20.00%,充分体现了资本市场对其布局的认可。

