21世纪经济报道 卢常乐 徐洁 上海报道 11月18日,沪苏浙皖企业联合会共同发布“2021长三角百强企业排行榜”(简称“榜单”)。21世纪经济报道记者注意到,当前长三角百强企业的综合实力得到进一步提升。
统计显示,2020年长三角企业100强营业收入再创新记录,达到17万亿元,同比增长了1.3万亿元,增长率8.28%。长三角百强企业的净利润合计达到8699.3亿元,同比增长73.5亿元,盈利水平比上年略有增长。
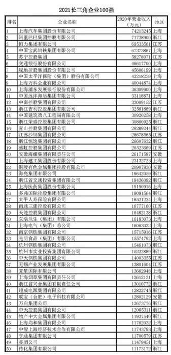
从长三角百强企业的地区分布来看,百强上榜企业中,浙江省36家,上海市32家,江苏省23家,安徽省9家。
值得关注的是,本期榜单中营业收入超千亿元企业达到57家,平均每家企业营业收入规模达到1698.9亿元。跻身世界500强的企业共有23家,比上年增加2家。
其中,营业收入排名前5名的企业分别是上汽集团(7421.3亿元)、阿里巴巴集团(7172.9亿元)、恒力集团(6953.4亿元)、中国宝武钢铁集团(6737.4亿元)、苏宁控股集团(5827.8亿元)。5家行业领军企业2020年营业收入合计占百强企业的比重达到20.08%。
具体到行业来看,当前长三角地区的新兴产业发展动力十分强劲,新兴产业已经成为业绩增长的重要动力。
数据显示,2020年长三角百强企业的互联网服务行业营收超过1万亿元,大幅增长37%;集成电路行业的头部企业处于高速增长周期,增长率超过20%,已经成为长三角经济发展中快速增长的企业群体;医药和医疗器械行业也保持10%以上的较高增速;新能源汽车业务同样处于较快增长通道中,对行业的产品结构调整发挥了重要作用。
值得一提的是,此次长三角百强中的58家民营企业2020年合计营业收入90507.8亿元,增长率达到11.76%。营业收入增长幅度明显高于长三角百强的平均增长幅度,体现出民营经济发展继续保持着旺盛的活力。
榜单分析指出,上述产业快速发展的现象说明,当前长三角三省一市正在实施的新兴产业发展规划成效初显,为“十四五”时期长三角地区的产业提质增效、加快产业升级奠定重要基础。
附:《2021长三角企业100强》




粤公网安备 44010402000579号